作辅助动力源

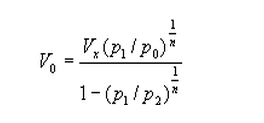
V0—所需蓄能器的容积(m3)
p0—充气压力Pa,按0.9p1>p0>0.25 p2充气
Vx—蓄能器的工作容积(m3)
p1—系统最低压力(Pa)
p2—系统最高压力(Pa)
n—指数;等温时取n=1;绝热时取n=1.4
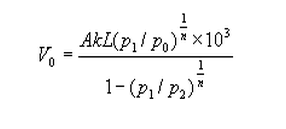
吸收泵的脉动

A—缸的有效面积(m2)
L—柱塞行程(m) k—与泵的类型有关的系数:
泵的类型 系数k
单缸单作用 0.60
单缸双作用 0.25
双缸单作用 0.25
双缸双作用 0.15
三缸单作用 0.13
三缸双作用 0.06
p0—充气压力,按系统工作压力的60%充气
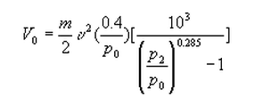
吸收冲击

m—管路中液体的总质量(kg)
υ—管中流速(m/s)
p0—充气压力(Pa),按系统工作压力的90%充气
上一篇:蓄能器胶囊的参数有哪些
下一篇:蓄能器按照用途可以分为哪几类
7×24小时服务热线 13736056877