半岛在线登录入口-手机App下载
欢迎访问半岛在线登录入口官方网站!
CN
EN
ES
全国咨询热线:
13736056877
0574-88850227
网站首页
朝日简介
产品展示
行业新闻
技术知识
企业荣誉
厂房设备
联系我们
行业新闻
首页
行业新闻
如何检查蓄能器充气压力
检查蓄能器充气压力的方法如下 : 将压力计装在蓄能器的油口附近,用泵向蓄能器注满油液,然后使泵停止,让压力油通过与蓄能器...
发布日期:2015-08-31
蓄能器皮囊使用寿命短的原因
皮囊蓄能器皮囊的使用寿命影响因素有皮囊质量,使用的工作介质与皮囊材质的相容性;或者有污物混入;选用的蓄能器公称容量不合适(油口流速不能...
发布日期:2015-08-28
蓄能器的充气、测压及放气操作
充气 1、将蓄能器垂直放置,并将蓄能器上方的防护螺帽及充气阀的防护螺帽拧下来; 2、将充气工具的手柄左旋至顶杆与台...
发布日期:2015-08-28
安装囊式蓄能器的注意事项
在安装囊式蓄能器之前,需要做好相关检查 1、蓄能器的各个部件是否齐全,是否有损坏的地方。 2、蓄能器是否符合使用...
发布日期:2015-08-24
蓄能器吸收压力脉动的效果差
1、蓄能器释放出的流量稳定性差 蓄能器充放液的瞬时流量是一个变量,特别是在大容量且△p=p2-p1范围又较大的系统中,...
发布日期:2015-08-24
蓄能器的安装需要注意哪些问题
安装前应对蓄能器进行如下检查:产品是否与选择的相同,充气阀是否牢固,以及进油阀进、出口是否堵好等。 蓄能器应安装在检查、维修方便...
发布日期:2015-08-18
蓄能器选型的六大原则
(1) 适应功能需求 蓄能器若用于吸收冲击和消除脉动,选用气囊式和隔膜式蓄能器效果较好。而活塞式蓄能器反应灵敏性差,不宜用于...
发布日期:2015-08-18
蓄能器按照用途可以分为哪几类
1、辅助动力源 ☆ 提供一个辅助能源,即所储存的能源能在高峰时刻应用,以便选用较小的泵。用较小的泵,也可以实现在瞬间提供大量...
发布日期:2015-08-12
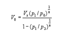
蓄能器容量的计算方法
作辅助动力源 V0—所需蓄能器的容积(m3) p0—充气压力Pa,按0.9p1>p0>0.25 p2充气 ...
发布日期:2015-08-12
蓄能器弹簧断裂分析
一、弹簧断裂 1.冲气压力在一段时间内有泄漏现象,在半个月后有时需要补压。 2.由于磨机震动,才发现蓄能器胶囊已...
发布日期:2015-07-16
蓄能器的充气压力如何确定
网友提问:在给蓄能器充氮气的时候,是如何确定氮气的充气压力的? 朝日答复:您好。首先我们要知道的是,蓄能器充气压力一般都是...
发布日期:2015-07-10
蓄能器使用油箱喷油现象的解决方法
在实际操作中,有时还会遇到油箱喷油的现象,这是由于蓄能器气囊受压破碎,大量气泡进入油液中,使油液的可压缩性增加,由于油液从高压突...
发布日期:2015-07-09
共: 103 条
首页
上一页
1
2
3
4
5
6
7
8
9
下一页
尾页
微信
电话
7×24小时服务热线
13736056877
返回
顶部